GROUPING >= 2
If the group dimension is > 1 the reports change considering:

where Ri is the range of each group and j is the group dimension. Example for group dimension = 3





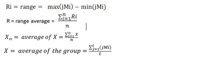
If the group dimension is > 1 the reports change considering:

where Ri is the range of each group and j is the group dimension. Example for group dimension = 3




